Are you looking for a fun and engaging way to practice multiplying binomials? Look no further! Our multiplying binomials worksheet is here to help you sharpen your algebra skills and boost your confidence in no time.
Whether you’re a student struggling with algebra or a teacher looking for resources to supplement your lessons, our multiplying binomials worksheet is the perfect tool for you. It’s designed to provide you with ample practice to master this essential algebraic skill.

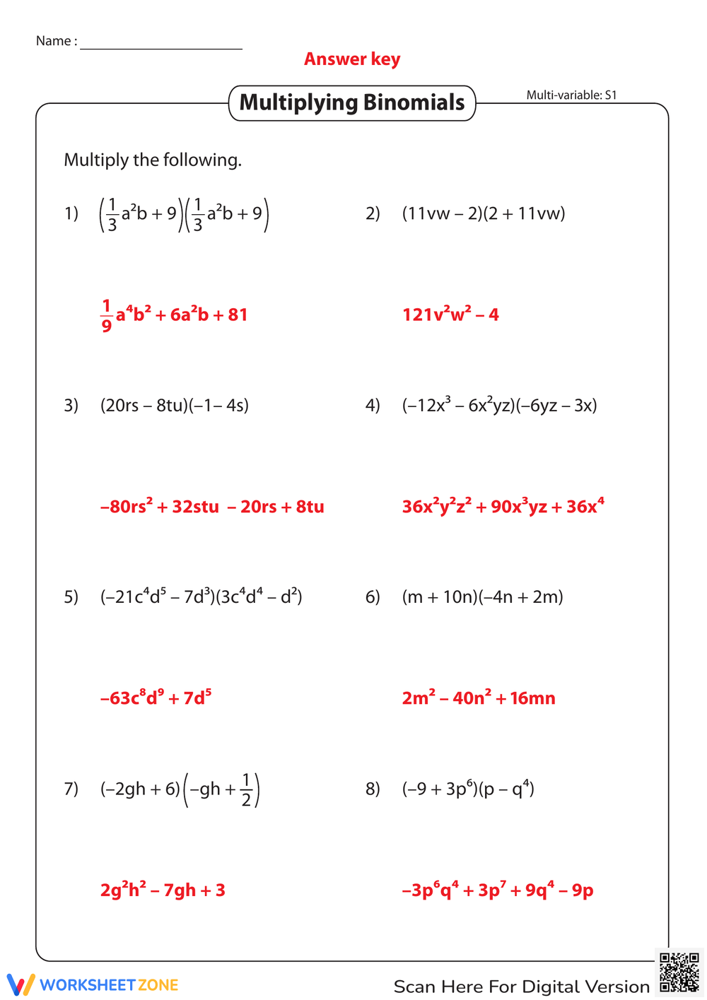
multiplying binomials worksheet
Mastering Multiplying Binomials Worksheet
With our multiplying binomials worksheet, you’ll have the opportunity to work through a variety of problems that will challenge and strengthen your algebraic abilities. From basic multiplication to more complex scenarios, this worksheet covers it all.
Each problem is carefully crafted to help you understand the underlying concepts of multiplying binomials. You’ll have the chance to practice distributing and combining like terms, essential skills that will serve as the foundation for more advanced algebraic operations.
By working through our multiplying binomials worksheet, you’ll not only improve your algebra skills but also gain the confidence to tackle more challenging problems. With consistent practice, you’ll soon find yourself breezing through multiplying binomials with ease.
So why wait? Download our multiplying binomials worksheet today and take the first step towards mastering this fundamental algebraic concept. Whether you’re a beginner or an experienced algebra student, this worksheet is sure to enhance your skills and boost your confidence in no time.

Multiplying Binomials Leveled Checking Worksheet By Teach Simple

Multiplying Binomials Create And Color Funrithmetic

Multiplying Binomials Using The Grid Method Worksheet 7th Grade PDF Worksheets Cazoom Math

Printable Multiplying Polynomials Worksheets

Printable Multiplying Binomials Worksheets Download