Have you ever struggled with factorizing polynomials? It can be a challenging concept for many students to grasp, but fear not! With the help of a factorization of polynomials worksheet, you can practice and improve your skills in no time.
These worksheets are designed to break down the process of factorizing polynomials into manageable steps. They provide you with various polynomials to factorize, along with guided instructions and examples to help you understand the concept better. By practicing with these worksheets, you can build your confidence and master factorization.

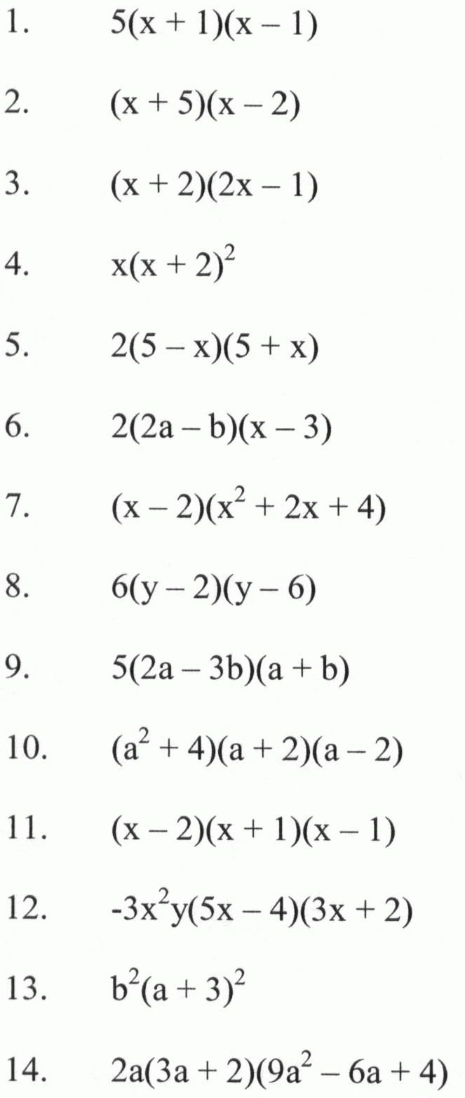
factorization of polynomials worksheet
Unlocking the Power of Factorization of Polynomials Worksheet
One of the key benefits of using a factorization of polynomials worksheet is that it allows you to practice at your own pace. You can work through the problems systematically, referring back to the examples and instructions whenever you need clarification. This hands-on approach helps reinforce your learning and retention of the material.
Additionally, these worksheets often come with answer keys, so you can check your work and identify any mistakes. This immediate feedback is invaluable in helping you pinpoint areas where you may need more practice. It also allows you to track your progress and see how far you’ve come in mastering factorization.
Whether you’re a student looking to improve your math skills or a teacher seeking resources to support your students, a factorization of polynomials worksheet is a valuable tool. So why wait? Start practicing today and see the difference it can make in your understanding of polynomial factorization!
In conclusion, factorizing polynomials doesn’t have to be daunting. With the right tools, such as a factorization of polynomials worksheet, you can build your skills and confidence in no time. So grab a worksheet, dive in, and watch your math abilities soar!

Factoring Polynomials Color By Number Funrithmetic

Free Worksheet Factoring Polynomials Download Free Worksheet Factoring Polynomials Png Images Free Worksheets On Clipart Library

FACTORING POLYNOMIALS WORKSHEET

Factoring Polynomials Notes And Worksheets Lindsay Bowden Worksheets Library

Edia AI Platform For Student Outcomes