Exponential functions are a fundamental concept in mathematics that describe how a quantity grows rapidly over time. Understanding exponential functions can be challenging, but with the right practice and resources, you can master them in no time.
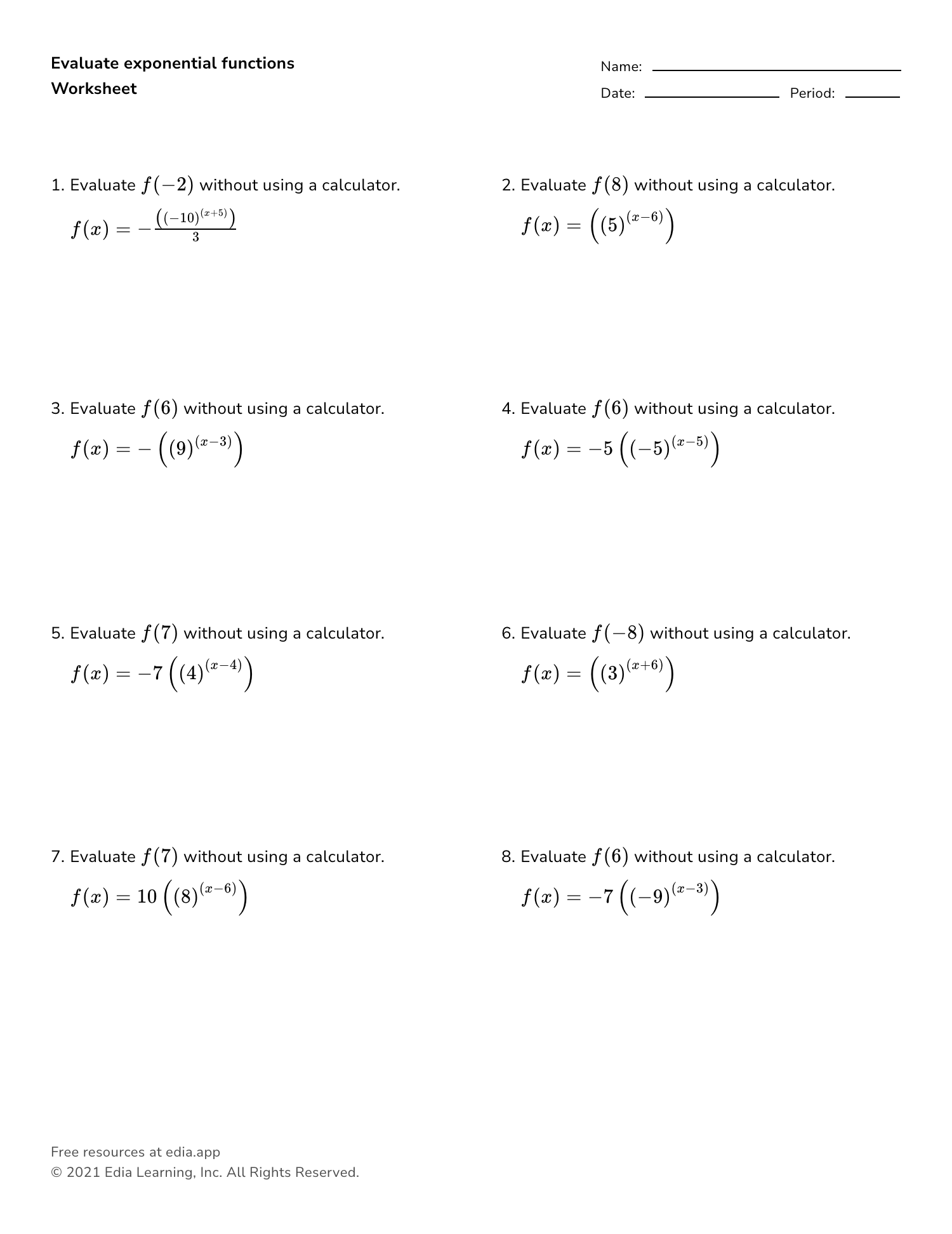
One great way to practice and test your knowledge of exponential functions is by using an exponential functions worksheet. These worksheets typically contain a variety of problems that cover different aspects of exponential functions, allowing you to practice and improve your skills.

exponential functions worksheet
Exponential Functions Worksheet: A Helpful Tool for Practice
By working through an exponential functions worksheet, you can sharpen your problem-solving skills and gain a deeper understanding of how exponential functions work. These worksheets often include problems that require you to identify exponential growth or decay, solve exponential equations, and more.
Additionally, exponential functions worksheets can help you track your progress and identify areas where you may need more practice. By regularly practicing with these worksheets, you can build confidence in your ability to tackle exponential functions problems and excel in your math studies.
Whether you’re a student looking to improve your math skills or a teacher searching for resources to help your students, an exponential functions worksheet can be a valuable tool. So why not give it a try and see how much you can learn and grow with the help of these practice problems?
In conclusion, exponential functions worksheets are a fantastic resource for anyone looking to enhance their understanding of exponential functions. With regular practice and dedication, you can become proficient in solving exponential functions problems and boost your math skills. So grab a worksheet, sharpen your pencil, and start solving those exponential equations today!

Edia AI Platform For Student Outcomes

Edia AI Platform For Student Outcomes

Edia AI Platform For Student Outcomes

Graphing Exponential Functions Exponents Worksheets Algebra 1 Made By Teachers

Edia AI Platform For Student Outcomes