If you’re struggling with completing the square in math, don’t worry – you’re not alone! Many students find this concept challenging at first. However, with a bit of practice and some helpful resources, you’ll be able to master it in no time.
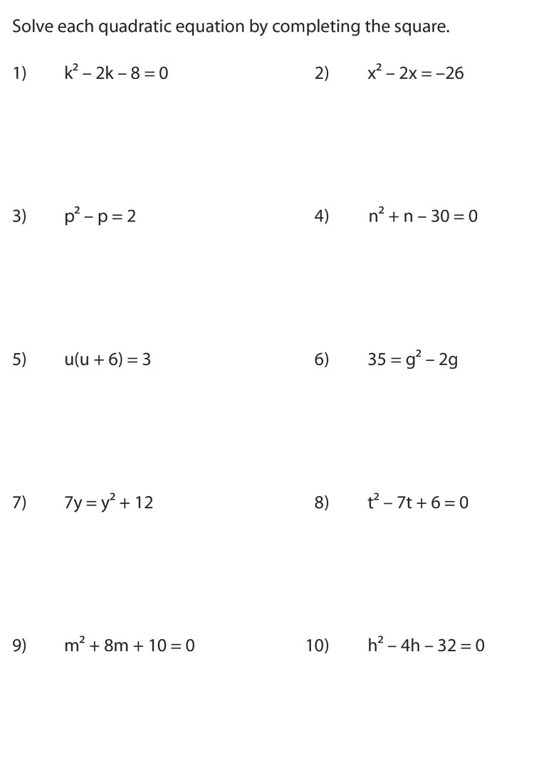
Completing the square is a method used to solve quadratic equations. It involves manipulating the equation to create a perfect square trinomial, which can then be easily factored. This technique is particularly useful when dealing with equations that are difficult to solve using other methods.

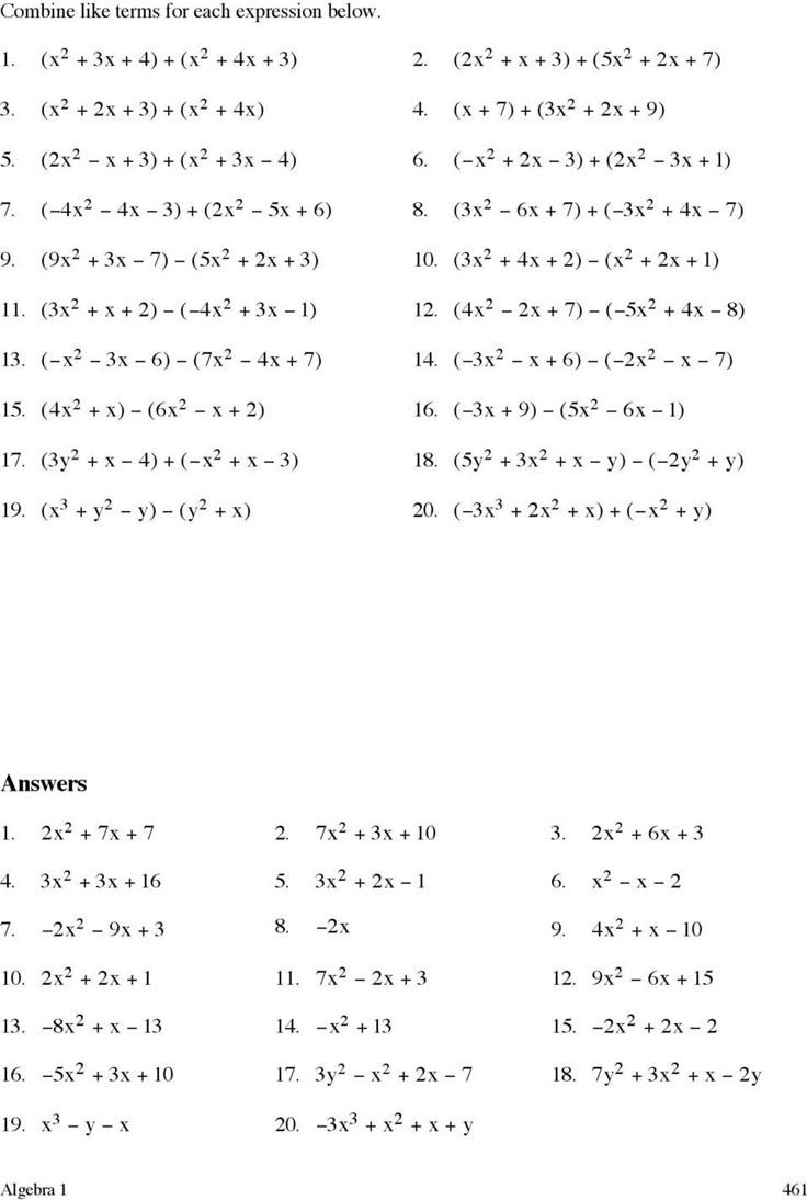
complete the square worksheet
Complete the Square Worksheet
One useful tool for practicing completing the square is a worksheet. These worksheets typically contain a series of problems that allow you to practice the steps involved in completing the square. By working through these problems, you can improve your understanding of the concept and build your confidence in solving quadratic equations.
When using a complete the square worksheet, make sure to carefully follow the steps outlined in your textbook or class notes. Pay attention to the details of each problem and take your time to work through them systematically. Don’t rush through the problems – practice makes perfect!
Additionally, don’t hesitate to ask for help if you get stuck on a particular problem. Your teacher, classmates, or a tutor can provide guidance and clarification to help you work through any challenges you encounter. Remember, it’s okay to struggle with new concepts – the important thing is to keep trying and learning from your mistakes.
In conclusion, completing the square can be a tricky concept to grasp, but with practice and perseverance, you can improve your skills and become more confident in solving quadratic equations. So grab a complete the square worksheet, roll up your sleeves, and get ready to tackle those problems head-on!

Quiz Worksheet Completing The Square Study

National 5 Complete The Square Worksheet Worksheets Library

Completing The Square Worksheet Fun And Engaging Algebra I PDF Worksheets Cazoom Math

Complete The Square Worksheets Algebra 1 Quadratic Functions Worksheets Library

Completing The Square Formula How To Solve Equation Example Steps